141.环形链表

环形链表

给你一个链表的头节点 head ,判断链表中是否有环。

如果链表中有某个节点,可以通过连续跟踪 next 指针再次到达,则链表中存在环。 为了表示给定链表中的环,评测系统内部使用整数 pos 来表示链表尾连接到链表中的位置(索引从 0 开始)。注意:pos 不作为参数进行传递 。仅仅是为了标识链表的实际情况。

如果链表中存在环 ,则返回 true 。 否则,返回 false 。

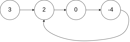
示例 1:

输入:head = [3,2,0,-4], pos = 1
输出:true
解释:链表中有一个环,其尾部连接到第二个节点。

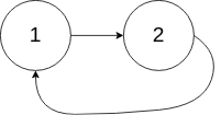
示例 2:

输入:head = [1,2], pos = 0
输出:true
解释:链表中有一个环,其尾部连接到第一个节点。

示例 3:

输入:head = [1], pos = -1
输出:false
解释:链表中没有环。

提示:

  • 链表中节点的数目范围是 [0, $10^4$]
  • $-10^5$ <= Node.val <= $10^5$
  • pos 为 -1 或者链表中的一个 有效索引 。

进阶:你能用 O(1)(即,常量)内存解决此问题吗?

解析

本题使用快慢指针,slow 每次走一步,fast 每次走两步,如果两个相遇则证明有环。

1
2
3
4
5
6
7
8
9
10
11
12
13
var hasCycle = function (head) {
let slow = head;
if (!slow) return false;
let fast = head.next;
while (slow !== fast) {
if (!slow || !fast) return false;
if (!slow.next || !fast.next) return false;
slow = slow.next;
fast = fast.next.next;
}

return true;
};

换一种写法

1
2
3
4
5
6
7
8
9
10
11
12
13
14
15
var hasCycle = function (head) {
let slow = head;
let fast = head;
while (true) {
if (!slow || !fast || !fast.next) {
return false;
}
slow = slow.next;
fast = fast.next.next;

if (slow === fast) {
return true;
}
}
};

141.环形链表
https://lz5z.com/141.linked-list-cycle/
作者
tickli
发布于
2023年8月11日
许可协议