19.删除链表的倒数第 N 个结点

删除链表的倒数第 N 个结点

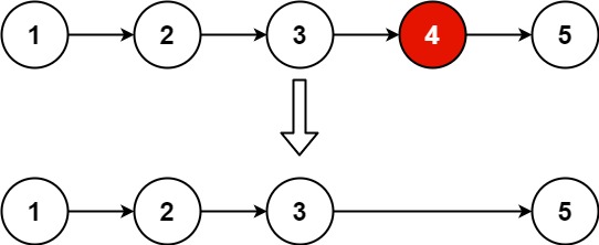
给你一个链表,删除链表的倒数第 n 个结点,并且返回链表的头结点。

示例 1:

输入:head = [1,2,3,4,5], n = 2
输出:[1,2,3,5]

示例 2:

输入:head = [1], n = 1
输出:[]

示例 3:

输入:head = [1,2], n = 1
输出:[1]

提示:

  • 链表中结点的数目为 sz
  • 1 <= sz <= 30
  • 0 <= Node.val <= 100
  • 1 <= n <= sz

进阶:你能尝试使用一趟扫描实现吗?

解析

这题可以使用快慢指针来解决

1
2
3
4
5
6
7
8
9
10
11
12
13
14
15
16
17
18
19
20
21
22
23
24
25
26
27
28
29
30
31
32
/**
* Definition for singly-linked list.
* function ListNode(val, next) {
* this.val = (val===undefined ? 0 : val)
* this.next = (next===undefined ? null : next)
* }
*/
/**
* @param {ListNode} head
* @param {number} n
* @return {ListNode}
*/
var removeNthFromEnd = function (head, n) {
let p = {
val: "",
next: head,
};
let fast = p;
let slow = p;
// 快指针先走 n 步
for (let i = 0; i < n; i++) {
fast = fast.next;
}
// 快慢指针同时前进,直到快指针到达终点
while (fast.next) {
fast = fast.next;
slow = slow.next;
}
// 删除倒数第N个节点
slow.next = slow.next.next;
return p.next;
};

19.删除链表的倒数第 N 个结点
https://lz5z.com/19.remove-nth-node-from-end-of-list/
作者
tickli
发布于
2023年7月12日
许可协议